Javier Padilla

Javier Padilla

Abril 20, 2022 / Por Maritza Flores Hernández Rodeado de su obra, el artista plástico Tirsso Castañeda conversa sobre cómo el arte es revelación del yo interior, de ...
On abril 21, 2022 / By adminFabiola Morales Gasca (Portada: Teatro Principal de Puebla. Tomada de https://www.mexicoescultura.com/recinto/50387/teatro-principal-de-puebla.html#prettyPhoto) Siempre he amado las calles del Centro Histórico de Puebla. El Teatro Principal fue, durante mucho tiempo, ...
On abril 20, 2022 / By adminMárcia Batista Ramos (Portada: Pablo Picasso, Madre e hijo, 1901. Periodo azul) Divinos misterios trae el otoño, que derrama las hojas en tonos naranjas y amarillentos, precediendo ...
On abril 20, 2022 / By adminJorge Escamilla Udave La experiencia de leer un libro conjuga una serie de aspectos que suelen ser reglas de oro para el lector potencial y los más ...
On abril 20, 2022 / By adminCúmulo Obseso / Aarón B. López Feldman ¿Quién recuerda cuando la nación hace memoria? Jesús Martín-Barbero Cuando hablamos de nacionalismo y de regionalismo hablamos de la ...
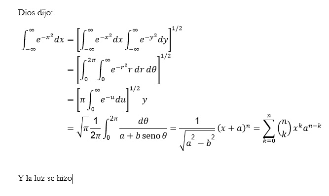
On noviembre 20, 2020 / By admin
No Comments